Skip to main content
Sofosbuvir CAS 1190307-88-0
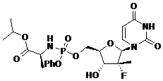
Name

Sofosbuvir

Molecular Formula

C22H29FN3O9P

Molecular Weight

529.45

CAS Number (Or Watson Number for Non-CAS Products)

1190307-88-0

Use

Impurity of API Sofosbuvir

Links

This product is developed by our R&D company Caming Pharmaceutical Ltd (https://www.caming.com/).

Quick Inquiry

Fill out our inquiry form and one of our experts will be in touch with you shortly.
https://www.watson-int.com/sofosbuvir-cas-1190307-88-0-4/

Comments

Popular posts from this blog

- Identification - Properties - Safety Data - Specifications & Other Information - Links - Quick Inquiry Identification CAS Number 13939-06-5 Name Molybdenum hexacarbonyl Synonyms carbon monooxide- molybdenum(6:1) Hexacarbonylmolybdenum hexacarbonylmolybdenum(0) HEXAKIS(CARBON MONOXIDE) MOLYBDENUM hexakis(methanidylidyneoxidanium) molybdenum MFCD00003466  Molybdenum carbonyl Molybdenum carbonyl (Mo(CO)6) (8CI) Molybdenum carbonyl (Mo(CO)6), (OC-6-11)- Molybdenum carbonyl, Molybdenum hexacarbonyl Molybdenum carbonyl; Molybdenum hexacarbonyl Molybdenum carbonyl|Hexacarbonylmolybdenum(0) Molybdenum hexacarbonyl Molybdenumhexacarbonyl O=(=O)(=O)(=O)(=O)=O QA-3932 SMILES #.#.#.#.#.#. StdInChI InChI=1S/6CO.Mo/c6*1-2; StdInChIKey KMKBZNSIJQWHJA-UHFFFAOYSA-N Molecular Formula C6MoO6 Molecular Weight 264.001 EINECS 237-713-3 MDL Number MFCD00003466 Properties Appearance White powder Structure Structure of Molybdenum hexacarbonyl CAS 13939-06-5 Safety Data Symbol GHS06 Signal Word Warning Ha...
- Identification - Properties - Safety Data - Specifications & Other Information - Links - Quick Inquiry Identification CAS Number 180031-78-1 Name 4--2-pentanone FEMA 3840 Synonyms 13729321 180031-78-1 2-Pentanone, 4-- 4-(Furan-2-ylmethylsulfanyl)pentane-2-one4-(Furfurylthio)-2-pentanone4--2-pentanone4--2-pentanone4--2-pentanon 4--2-pentanone 4--2-pentanone 4-pentan-2-one T5OJ B1SY1&1V1 3025939 4-(2-Furylmethylthio)pentan-2-one4-(Furan-2-ylmethylthio)pentan-2-one4-(Furfurylthio)pentan-2-one4--2-pentanoneDTXSID40870148 FEMA 3840MFCD12911410 UNII-W5N093JFRP SMILES CC(CC(=O)C)SCc1ccco1 StdInChI InChI=1S/C10H14O2S/c1-8(11)6-9(2)13-7-10-4-3-5-12-10/h3-5,9H,6-7H2,1-2H3 StdInChIKey IUNKNKANRUMCNL-UHFFFAOYSA-N Molecular Formula C10H14O2S Molecular Weight 198.28 MDL Number MFCD12911410 Beilstein 13729321 Properties Appearance Amber liquid Density 1.080~1.095 Refractive index 1.498~1.516 Melting point 128.4°C Boili...
- Identification - Properties - Safety Data - Specifications & Other Information - Links - Quick Inquiry Identification CAS Number 2382942-38-1 Name DMTr-2'-O-C16-rC(Ac)-3'-CE-Phosphoramidite Synonyms DMTr-2'-O-C16-rC(Ac)-3'-CE-Phosphoramidite Molecular Formula C57H82N5O9P Molecular Weight 1012.28 Properties Appearance White powder Structure Structure of DMTr-2'-O-C16-rC(Ac)-3'-CE-Phosphoramidite CAS 2382942-38-1 Safety Data Symbol WGK Germany 3 MSDS Download Specifications and Other Information of Our Identification Methods HNMR, HPLC Purity 99% min Shelf Life 1 year Storage Store at -20°C, sealed and away from light Known Application DMTr-2'-O-C16-rC(Ac)-3'-CE-Phosphoramidite CAS 2382942-38-1 is used in 2'-0-C16 monomer. General View of Documents Links This product is developed by our R&D company Ulcho Biochemical Limited (http://www.ulcho.com/). Quick Inquiry Fill out our inquiry form and one of our experts will be in touch with you shortl...